求函数的单调区间与极值

解题过程和步骤
- 定义域,任何题目都需要在定义域内
- 求
; - 寻找定义域内
的点;(驻点) - 寻找定义域内
不存在的点。(不要遗漏)
- 寻找定义域内
- 以上点把定义域分成几部分。

- 下结论,在什么地方递增,在什么地方递减等。
在求极值的过程中,如果感觉判断左右两边导数值大于 0 还是小于 0 不太好判断,可以使用关于导数、极小值、极大值、拐点之间的关系中的二阶导数来判断(有局限性),具体如下:
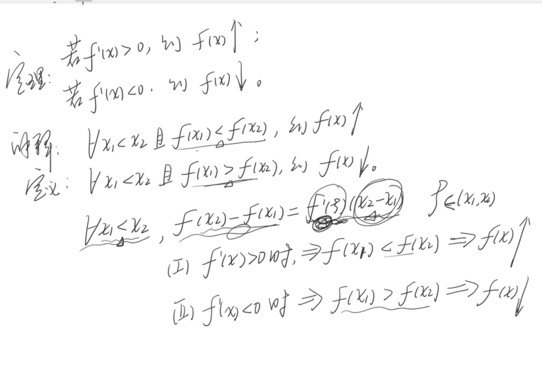
若
若
解释导数与单调增或减之间的关系
解释为什么

例题一
定义域:
求导数:
求完导数,找出导数等于
列表:(做的快,可以不列)核心是看邻域内是正是负,本质是求极限,可以代入特殊值

下结论:
结束。
例题二
定义域是:
直接求导:
进而得到:
没有导数不存在的点。
后面直接下结论:
| 2 | |||||
|---|---|---|---|---|---|
| ↑ | ↓ | ↑ |
最后的结论略。
证明不等式
直接上例题,通过例题来理解这个应用。
解题过程:
其核心思想主要是证明复合函数的单调性。
当一阶导数求完之后,可能存在无法判断是否大于
判断方程根的个数
IMPORTANT
若
NOTE
主要思想是利用导数,求出来单调区间以及极值点,根据单调区间与极值点以及单调区间上的极限值。
例如:已知
如果要判断根的个数,只知道单调性是不够的,还需要利用介值定理: 当
但如果当
首先是需要先求函数的单调区间与极值
然后是求定义域内
然后求出极大值和极小值来。
紧接着,需要求出函数区间端点上的极限值,如果没有区间,则是定义域端点上的极限值,(特别注意
用下面这个题来说明:
当
令
由于
所以有一个唯一的根。
然后是分析当
而当
因为是只有一个根,所以,令此最小值等于
综上所述:
当
再来一个例子:

再来一个例子:

曲率与曲率半径
曲率,主要是用到了与导数相关的知识。
曲率:
曲率半径:
王海平