字数
1004 字
阅读时间
5 分钟
奇零偶倍
交换
推论一
推论二
例题
具体过程如下:
再来一个例题:
换限
举个例子:
的变换
举个例子:
周期为 T 的函数
一、
二、
反常积分中的伽马函数
伽马函数一般用来快速计算反常积分(广义积分)
其核心是:
IMPORTANT
注意,关于伽马函数,一般题目都是需要换元的,也就是需要凑出伽马函数的形式,然后再计算。
而伽马函数形式的核心在于
其中,伽马函数具备以下这样的递推关系:
特别的是:
除此之外,伽马函数还有以下性质:
半整数阶公式:
举例使用
当遇到形如
通用步骤:
- 变量替换:令
,则 , - 代入积分:
- 化简结果:利用
(若 为自然数),或保留伽马函数形式
例题
计算
令
则积分变为:
定积分中的贝塔函数
贝塔函数的定义是:
性质
对称性:
特殊值:
与伽马函数之间的关系
适用场景
适合用于处理
以及通过变量替换可以换到
例如:
来个例题:
按照之前的做法是要拆项裂项。
这里需要进行换元计算: 令
积分变换为:
然后再利用贝塔函数和伽马函数之间的关系进行计算,得到最后的结果。
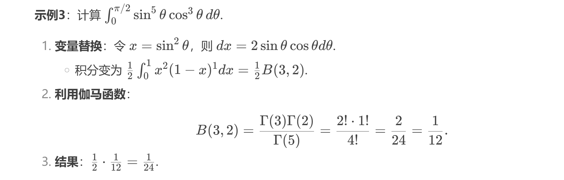
再来一个例题:

NOTE
具体问题具体分析,适用贝塔函数不见得是最简单的方法,比如示例 3,直接可以点火公式得到最后的结果。
前面一道题也是,直接就可以得到最后的结果,不需要再去硬凑贝塔函数的形式。
王海平