微分方程的一些概念
一阶微分方程
一阶微分方程是指只有一阶导数或微分的微分方程。
注:阶数是微分方程中含有的导数或微分的最高阶数,如
线性
形如
指的是微分方程简化之后的每一项关于
注:这里仅仅是对于
齐次
常数项(即不含有未知数的项为
齐次微分方程
形如
换元后能为可分离变量方程的一类微分方程,其中
一阶线性微分方程

二阶常系数线性微分方程
形如:
的微分方程,其中
解的结构
IMPORTANT
非齐次解的线性组合仍是非齐次的解,只要系数相加等于 1
IMPORTANT
非齐次解的线性组合为齐次的解,只要组合系数相加为 0
使用韦达定理
NOTE
韦达定理:
首先是在一元二次方程中,其代表根与系数之间的关系。
当然,除了在二次下,在高次幂下,依然有延申公式:
当然,更常见的是在三次幂下的使用:
在知道韦达定理之后,结合在求解微分方程中特征方程的求解。在部分题目上可以使用韦达定理来求解特征值(根)与系数之间的关系。
求解
主要分为以下几类:
1.一阶微分方程的的求解
2.二阶可降阶微分方程的求解
3.高阶常系数线性微分方程的求解

一阶微分方程的求解
可分离变量微分方程
首先是可分离变量的微分方程。
一般形式:
解法:合并同类项,然后积分。
齐次微分方程
一般形式:
一般不会直接得到这个形式的题目,基本上都需要化简之后得到这个形式。
求解:
令
代入原方程,再合并同类项,然后积分。
一阶线性微分方程
一般形式:
一阶齐次线性微分方程:
若
一阶非齐次线性微分方程
若
二阶微分方程
二阶齐次线性微分方程
一般形式:
通解:
其中的
IMPORTANT
其中,不只是齐次线性微分方程,包括非齐次线性微分方程,都满足:
非齐次解的线性组合仍是非齐次的解,只要系数相加等于 1
非齐次解的线性组合为齐次的解,只要组合系数相加为 0
二阶非齐次线性微分方程
这里跟上面的齐次线性微分方程唯一区别是等于号后面不等于
一般形式:
其通解是:齐通 + 非齐特
综合起来就是:
注意满足解的结构
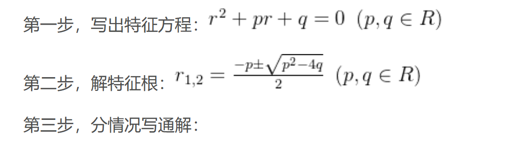
二阶常系数齐次线性微分方程
一般形式:
通解:


IMPORTANT
在这里要学会反推,因为题目中会出现已知特解的情况,当已知特解,要利用不同特解组合成一个齐次方程的特解(前面系数之和为
例如:已知二阶常系数非齐次线性方程有两个特解:
可以得到齐次方程的一个特解为:
注意,这里只需要有一个
二阶常系数非齐次线性微分方程
一般形式:
非齐次通解 = 齐次通解 + 非齐次特解
齐次通解就是上面哪几个解,注意其个别的形式。
关键是非齐次特解:

二阶可降解微分方程
这个只有两种:
NOTE
当可降解微分方程中出现
剩下的无论如何都是当作不含
不含有 的
在
要设
可以得到
将其转换成有关于
不含 的
在
令
所以,可以得到:
将其转化成
NOTE
注意,如何区分什么时候在设
主要是要理解不含
在不含
在不含
首先,在第一部分:
在不含
在不含
IMPORTANT
一定要时刻记得在求导的时候,是对谁求导
王海平