概念与先导
NOTE
数字信号处理,就是用数值计算的方法对信号进行处理
数字信号的来源:
- 计算机输入输出的信号
- 来自于数码设备的信号
- 原本为连续模拟信号,进而将连续模拟信号数字化得到的数字信号
数字信号处理的实现:
- 基于软件处理的数值运算
- 基于软硬件结合的数字型信号处理系统(dsp 、 fpga)
数字信号处理的特点:
- 灵活性
- 高精度和高稳定性
- 便于大规模集成
- 模拟系统无法精确实现的性能
总结有三个部分:
- 离散时间下的信号以及运算
- 傅里叶变换、Z 变换和离散傅里叶变换
- 滤波器设计
时域离散信号

常用典型序列
单位脉冲序列

移位则是
IMPORTANT
所有序列都可以是单位脉冲序列的加权位移之和
单位阶跃序列

矩形序列

实指数序列(单边实指数序列)

复指数序列

正弦序列

IMPORTANT
任何的

周期序列

如何求解序列的周期

如果是多个正弦函数相加的形式的序列,如果有一个正弦函数是无周期的,那么整个序列就是无周期的。
如果每个序列都是有周期的,那么一个一个求出来之后的最小公倍数就是整个序列的周期。

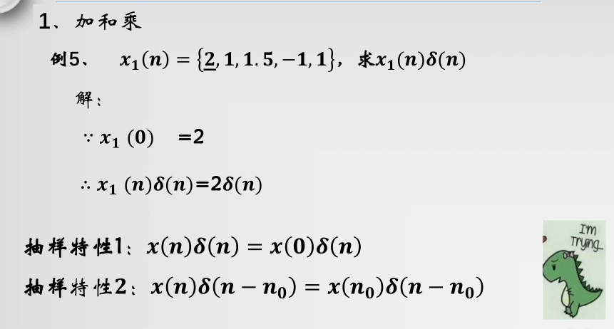
序列的计算
加和乘

加法注意要对齐

位移、翻转、尺度变换


尺度变换:

上面的这个过程叫做抽样
序列的卷积和

以此类推

常见:
求卷积和

单位脉冲序列的卷积和特性

列竖式快速计算有限序列卷积和

时域离散系统的概念和分类
NOTE
时域离散系统是能够完成将输入序列按照所需目的变换成输出序列的一种运算
时域离散系统的分类
线性系统和非线性系统
NOTE
定义:输入输出满足线性叠加原理的系统称为线性系统

例子:


线性系统的简易判断
- 输入输出的齐次性
- 可加性


时变系统和时不变系统
NOTE
定义:系统对于输入信号的运算关系在整个运算过程中不随时间变化而变化,则系统为时不变系统

例子:


时不变系统的简易判断
- 输入输出自变量尺度变换
- 输入
幅度为常数


因果系统和非因果系统
一般定义:系统的输出不发生在输入之前
线性时不变系统具有因果性的充分必要条件:
系统的单位脉冲响应应满足下式:
当

稳定系统和不稳定系统
稳定性的一般定义:对有界输入系统产生的输出也是有界的
线性时不变系统稳定的充分必要条件:系统的单位脉冲响应应该绝对可和
线性时不变系统
NOTE
定义:同时满足线性和时不变性的系统
可叠加、可移位、可加权
系统的输出相应分类
零状态响应
零输入相应
全相应
线性时不变系统的输入输出运算
线性时不变系统的输入输出运算关系
用卷积和运算描述系统的输入输出关系的注意事项为:
- 系统必须是线性时不变系统
- 所求输出为系统的零状态响应
单位脉冲响应可以描述线性时不变系统的零状态响应特性
LTI 系统的结构
级联型系统



并联型系统

混合型系统

系统的单位阶跃响应

时域离散系统的数学模型 - 离散差分方程
基本单元:


模拟信号数字化
中间需要信源编码
编码有三个步骤:
- 采样
- 量化
- 编码
这里的重点就是采样定理
序列傅里叶变换
定义:
序列傅里叶变换存在的条件是:
序列的傅里叶反变换
几个特殊序列的傅里叶变换
时域离散信号傅里叶变换的性质
周期性
线性
设
时移和频移性质
设
则时移性质是:
则频移性质是:
王海平