字数
496 字
阅读时间
3 分钟
卷积

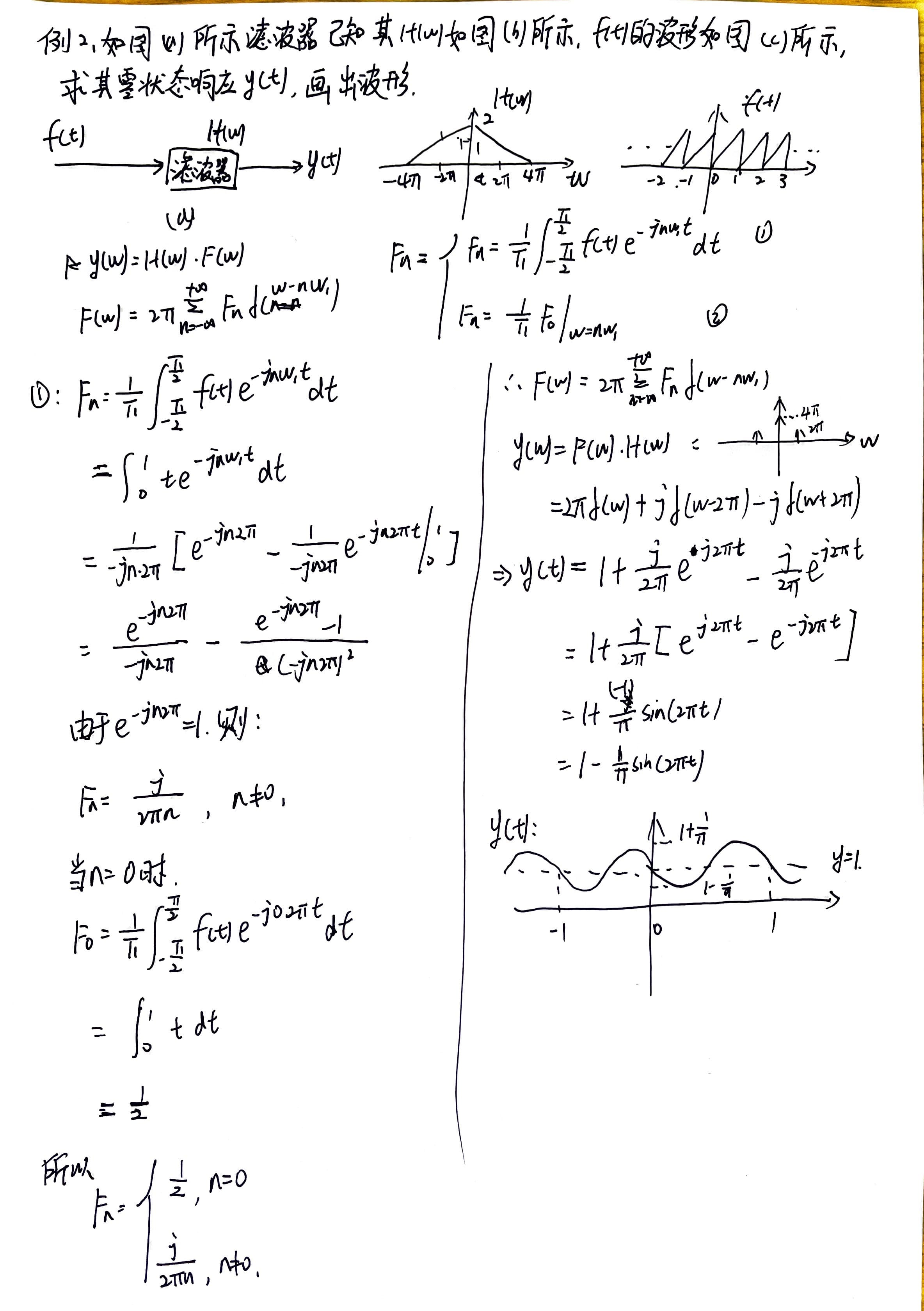
傅里叶变换的例题

周期信号与滤波器的应用:


拉氏变换的题目
第一个:

第二个:

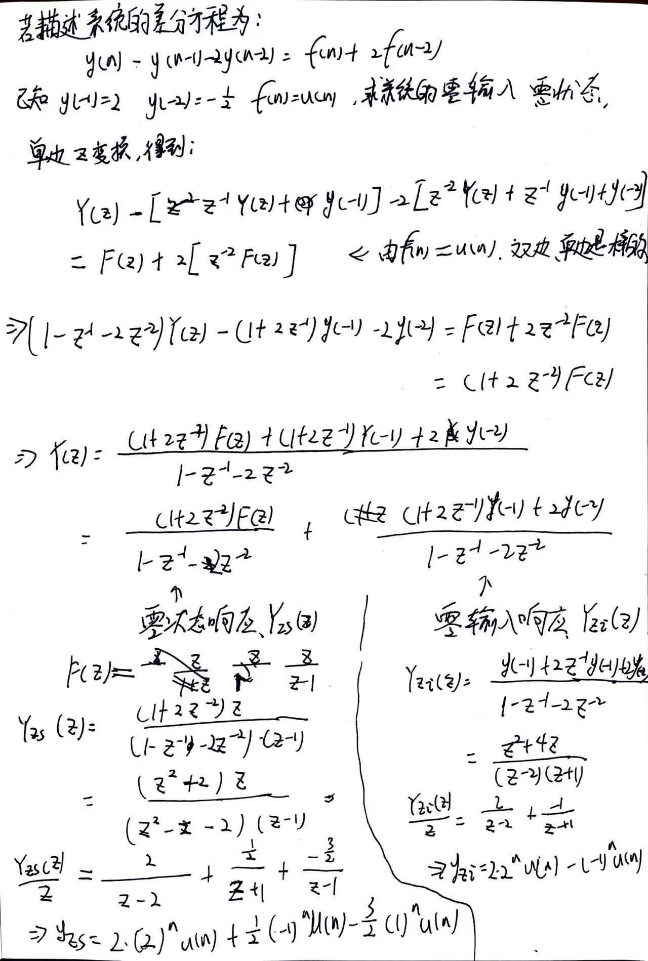
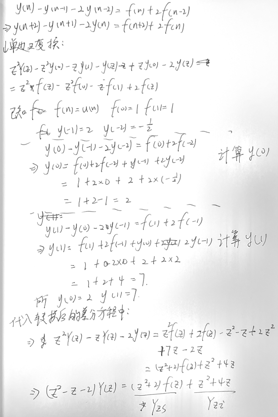
Z 变换的例题

求解差分方程
一离散系统的差分方程为:

重点题目
已知离散系统的差分方程为:

其他题目
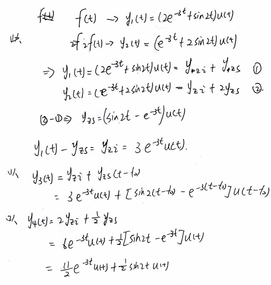
不同激励得不同响应
一般此类题目,会指出全相应。这个时候要根据题目条件将全相应分解成零输入和零状态。
IMPORTANT
当提到激励为
因为零状态代表的是系统只有输出,而初始状态为
例如:一个线性时不变系统,在相同的条件下,若当激励为
求若初始条件不变,当激励为
求初始条件大一倍,当激励为

另外一个类似的重点题目
某线性时不变系统,在非零状态条件不变的情况下,三种不同的激励信号作用于系统:
- 当输入
的时候,系统的输出是 ; - 当输入
的时候,系统的输出是


王海平